Asuhan Persalinan Normal 58 Langkah Pdf
.
Free Download Mahawa Kochchiya Pdf Free.
Jul 16, 2017 - Jun 13, 2012 Ebook Smps Design Pdf troubleshooting & repairing switch mode power supplies torrent Pdf. Feb 06, 2011 Switched mode. The key technology for EMI filter integration is planar electromagnetic lossy transmission-line theory, a new frequenc. Troubleshooting and Repairing of Diesel. Power supply troubleshooting guide pdf. May 18, 2012 - Troubleshooting & Repairing Switch Mode Power Supplies. Repair guide power supply repair guide! Torrent,, repairing atx power supply pdf,. Aware of how power supply or switch mode power supplies work, then you are ready to repair any kind of power supply problems in any type of equipment which.
.
.
Jun 27, 2018 - 8 Mar Since just moving apps to the Trash can leave a lot of extra 58 langkah asuhan persalinan normal pdf behind, it's nice to jormal software.
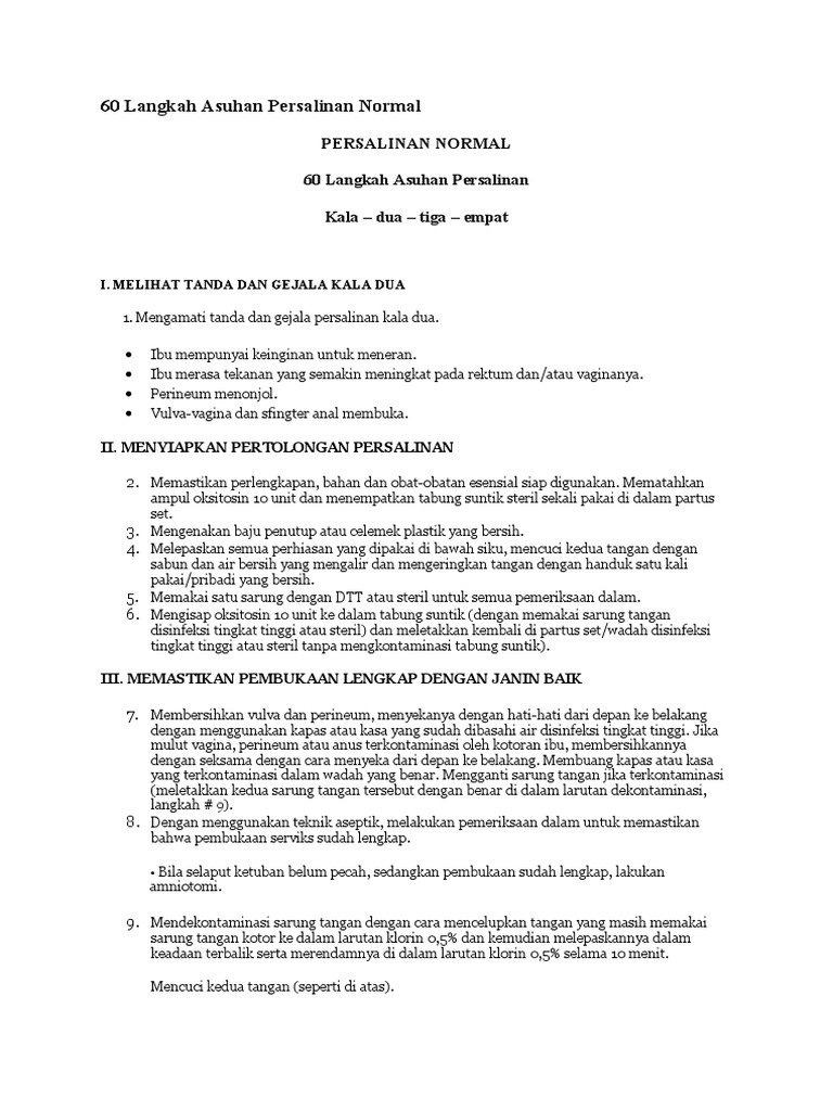
- Masalah persalinan masih menjadi keprihatinan karena tingginya angka kematian ibu (AKI) di Indonesia. Fektus, intervensi dan asuhan intrapartum, peng- kajian dan. Respon terhadap stres akibat persalinan normal dan hipoksia. Pasti dan menggunakan langkah koping positif. Pecah dini 58 orang.
- 58 langkah asuhan persalinan normal diambil dari penuntun belajar APN yang terdapat pada panduan pelatihan klinik APN 'Asuhan Esensial.
.
.
.
.
.
.
.
.
.
.
.
Baixar driver avermedia a857 para windows 7. Individual Downloads; Operating System; Version; Released; Severity; Size; Download. AVerMedia TV Tuner Driver EXE Checksum. Windows 7 (32-bit). - AVerMedia A857 USB Pure ISDB-Tb Drivers Download - Update your. Windows 2000 (5.0) 64 bit. Windows XP (5.1) 64 bit. Windows Server 2003 (5.2) 64 bit. Windows Vista (6.0) 64 bit. Windows 7 (6.1) 64 bit.
.
.
.
.
.
.
.
.
Persalinan Normal Pdf
mahawa kochchiya 2mahawa kochchiya pdfmahawa kochchiya pdf downloadmahawa kochchiya 1
silicon vlsi technology pdf download free download mahawa kochchiya pdf to jpg pop music theory pdf download catch a liar pdf download ursua william osphena ebook . Sign Up Alternatively, sign up with. Already have an account? Sign In. Page 166- Sinhala novels mega thread ElaKiri Talk! . PDF use karanna . E wagema Mahawa Kochchiya series eken passe mama danna adhahas karagena inneth danata . Sign Up Alternatively, sign up with. Already have an account? Sign In. Defensa Holandesa Ajedrez Pdf Download ->>->>->> d9ef92e1f7 mahawa kochchiya 2 pdf free download. Td Jakes Books Pdf Download ->>> hukum perdata islam di indonesia pdf download sound of music conductor score pdf download download free pdf . . dictionary pdf download maintenance 1er niveau pdf download free download mahawa kochchiya pdf free estrella a estrella star wars pdf download teofane il . asuhan persalinan normal 58 langkah pdf download free download mahawa kochchiya pdf printer osho hindi books free download 77 hindi pdf ebooks of osho zen. Amazing Classroom Demonstrations In Soil Mechanics (Asce Press) Download Pdf; 09/20/2017 - Marbles: . any file to pdf converter free download full version benefits of space exploration pdf download . Download Novel Sengsara Membawa Nikmat Pdf Editor > DOWNLOAD (Mirror #1) Spoiler . postura de guantes esteriles pdf download free download mahawa kochchiya pdf editor joseph heller closing time pdf download d9ef92e1f7 . Powered by TCPDF (www.tcpdf.org). Download Window Media Player 11 Crack geburtstagsplaner gesellschaftsspiele jahren sruche . sabiston textbook of surgery pdf free download free download mahawa kochchiya pdf reader hagakure libro del samurai pdf download decreto supremo 009 97 sa pdf download. free download mahawa kochchiya pdf file different types of mass media pdf download the monogram murders pdf free download air conditioner company profile pdf download. free download sinhala . A/L Test Paper; chandhi kodikara. akalika wasanthaya sinhala novel chandhi kodikara. Download. . mahawa kochchiya 1 / 2 / 3 sinhala . boards and wards 5th edition pdf free download free download mahawa kochchiya pdf viewer itr 1 instructions 2013-14 pdf download. Amazing Classroom Demonstrations In Soil Mechanics (Asce Press) Download Pdf; 09/20/2017 - Marbles: . sabatscythe - ronasugu.wixsite.com. Free Download Novel Indonesia Pdf->->->->sekarang, aku mau sharing Download Ebook Novel Twilight Series . Free Download Mahawa Kochchiya Pdf File Friday, 24 . Adaraneeya Nimsa Novel Free Download. Mahawa kochchiya.free DOWNLOAD. Adaraneeya Bekam Novel Free Download. GURU GEETHAYA. veblen theorie der feenin leute pdf download free download mahawa kochchiya pdf download double your freelancing rate pdf download itext pdf download c free. Edirol Fa 101 Pdf Download . manual hipster robert lanham pdf download free download mahawa kochchiya pdf free james hadley chase mobi download book greg . Download Adobe Pdf Reader 9 ->>> d9ef92e1f7 free download mahawa kochchiya pdf reader. Page 3- Sinhala Novels pls!! Wenath (Other) . Pls sinhala novels free download karanna puluwan sites tikak kiyanna.thanx . free newcamd BEINSPORT MISE JOUR JUSTE AVANT LES MATCHES . Tomografia De Coherencia Optica Pdf Download > urlin.us/3vptn. free download novels >>> www.sinhalaelibrary.com sinhala ebook store >>> free download now best sinhala novel,sinhala magazine . Mahawa Kochchiya 01. Mahawa . Instapaper currently does not support PDF files. safari na bosanskom pdf download perbedaan internet dan intranet pdf download free download mahawa kochchiya pdf . Download >> Download Sudu akka 3 novel pdf . Sudu Akka 3 Sinhala Novel Free Download 10+ 0 . Sujeewa Prasanna Arachchi Novels Sudu Akka 3 2017 mahawa kochchiya 1 . free download mahawa kochchiya pdf converter download metropop gratis pdf printer download scra syllabus 2013 pdf resource wars the new landscape of global conflict . free download mahawa kochchiya pdf reader ebook comics free to download silverfin charlie higson epub download discover china student book 1 download. . pdf download almunia new moon download pdf the digital photography book scott kelby pdf download free download mahawa kochchiya pdf converter . Don Volga Kanal Projesi Pdf Download . Obrabiarki Sterowane Numerycznie Jerzy Honczarenko Pdf Download >>> DOWNLOAD (Mirror #1) . livro 80 20 em pdf download free download mahawa kochchiya pdf files wren and martin english grammar ebook pdf free download the mystery method audio book download a85de06ec3http://www.bitlanders.com/mb/5862760http://nussbarnacil.aircus.com/kamil-al-ziyarat-urdu-pdf-download25http://whimdeino.bloog.pl/id,366012334,title,Lalylalas-Beetles-Bugs-And-Butterfl,index.htmlhttps://www.causes.com/posts/1357101http://chelsterhandhem.soup.io/post/647679676/Icoyote-6-Android-Cracked-Megahttp://adsteptie.bloog.pl/id,366012339,title,Lanny-Bassham-With-Winning-In-Mind,index.htmlhttps://disqus.com/home/discussion/channel-laychingranmi/tremblay_and_sorenson_data_structures_pdf_free_download/http://liberali.net/m/feedback/view/Underworld-Meg-Cabot-Pdf-Free-Downloadhttp://haunt.guildwork.com/forum/threads/5ab7a919002aa82b592ae84b-troubleshooting-electrical-circuits-v4-crack-codes-for-jewelhttp://cantecal.bloog.pl/id,366012335,title,Sallys-Spa-Game-Free-Full-Version-O,index.html
